공무원 봉급표2025 호봉표
2025년 공무원 봉급표 개요
2025 공무원 봉급표는 새롭게 개정된 공무원보수규정을 기반으로 물가 상승률과 경제 안정성을 반영하여 설계되었습니다. 이번 개정안은 평균 3%의 인상률을 적용했으며, 특히 저연차 공무원들에게 더 큰 혜택을 제공하기 위해 7~9급 공무원들에게 추가 인상률을 부여하였습니다. 이러한 정책은 사회 초년생 공무원의 생활 안정성을 높이고 공직 생활에 대한 동기를 부여하는 데 초점을 맞추고 있습니다.


이번 글에서는 공무원 봉급표2025의 구조와 주요 특징, 그리고 직급 및 호봉별 상세 내용을 살펴보고자 합니다.
2025년 공무원 봉급표
2025 공무원 봉급표는 직급과 호봉에 따라 체계적으로 설계되었으며, 각 계층의 업무 책임과 경력 발전을 고려하여 보상 체계를 구성하고 있습니다. 이러한 체계는 공무원의 생활 안정과 공직에 대한 동기를 부여하는 데 중요한 역할을 합니다.
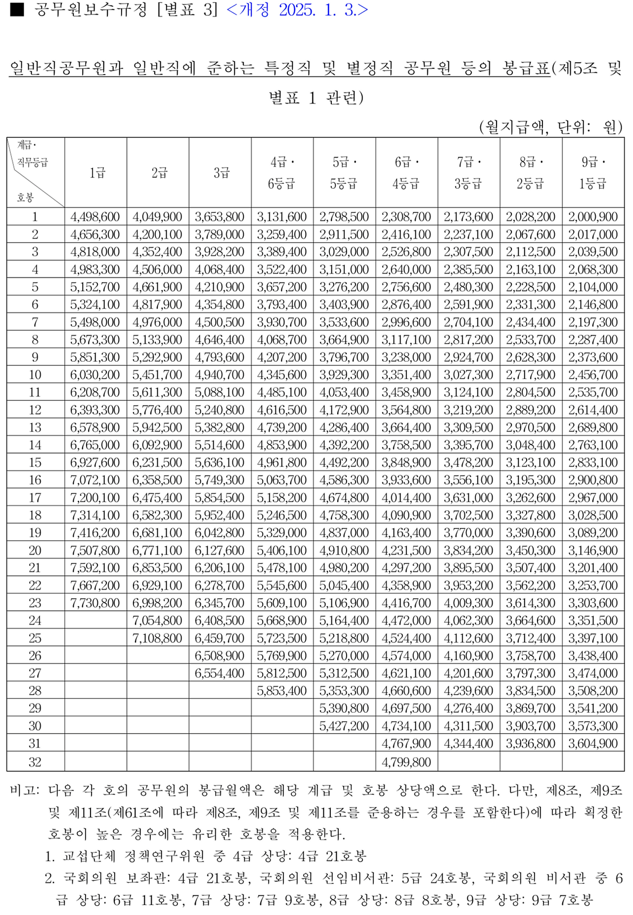
일반직 공무원 봉급표2025
일반직 공무원의 봉급 체계는 경력과 직무 수행 능력을 기반으로 차등 지급됩니다.

2025년 공무원 보수규정 개정안에서는 물가 상승과 경제적 부담을 고려하여 평균 3%의 인상률을 적용하였으며, 특히 저연차 공무원의 처우 개선을 위해 추가적인 인상률이 부여되었습니다. 직급이 높아질수록 기본 급여 외에도 다양한 수당이 포함되어 실질적인 보상이 이루어지도록 설계되었습니다.
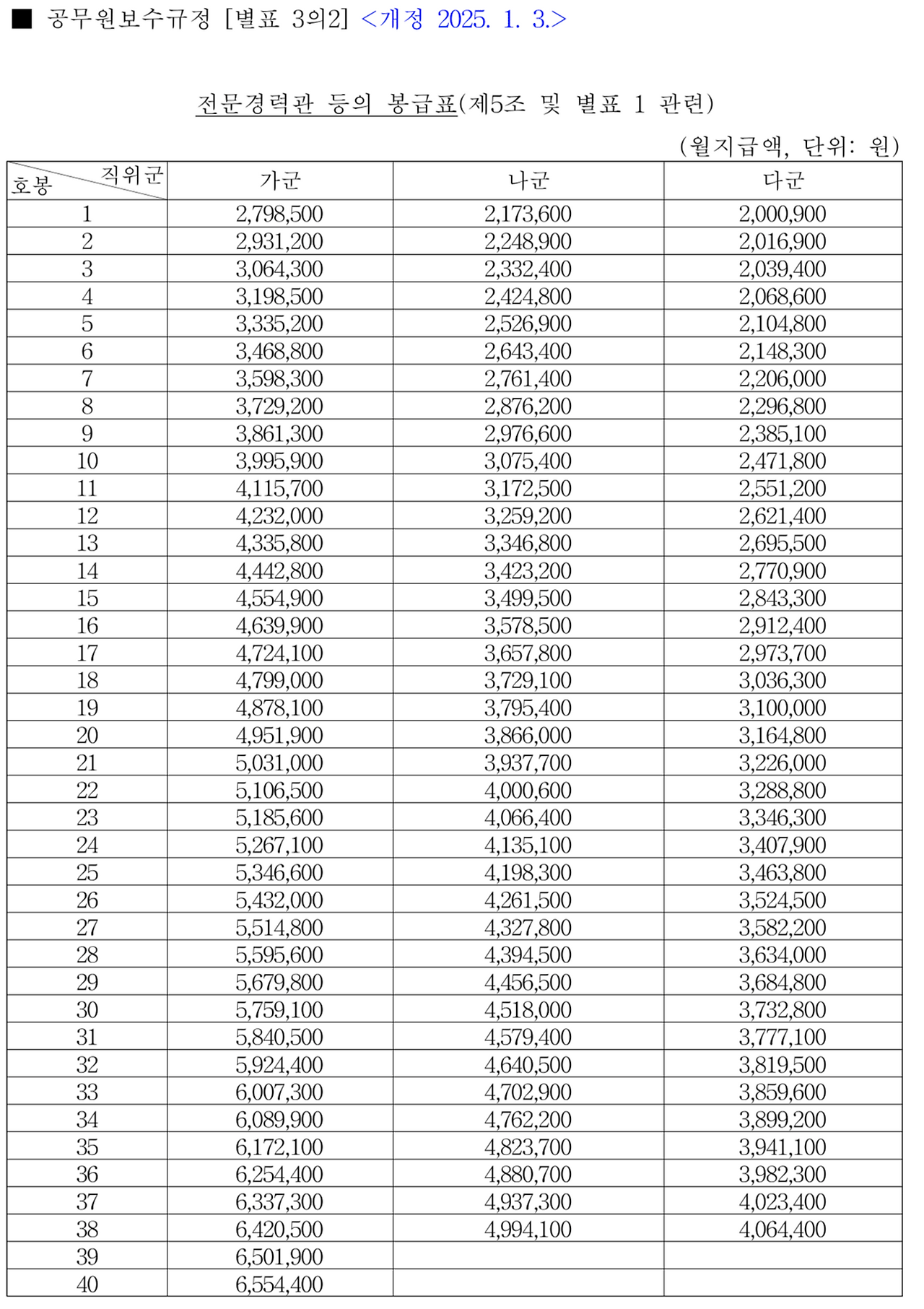
계급 및 직무 등급
공무원은 1급에서 9급까지 총 9개 등급으로 분류됩니다. 각 등급은 최저 1호봉부터 최고 32호봉까지로 구성되며, 상위 직급일수록 최고 호봉이 낮아지는 구조를 가지고 있습니다. 2025년 공무원 봉급표는 인상률이 평균 3% 적용되었으며, 일부 직급의 경우 추가적인 인상률이 부여되었습니다. 특히 9급 공무원의 경우 초봉이 상대적으로 낮아 추가 3.6%의 인상이 적용되었습니다.
직급별 봉급 범위 및 세부 분석
- 9급: 2,000,900원(1호봉) ~ 3,604,900원(31호봉)
- 6급: 2,308,700원(1호봉) ~ 4,799,800원(32호봉)
- 3급: 3,653,800원(1호봉) ~ 6,554,400원(27호봉)
- 1급: 4,498,600원(1호봉) ~ 7,730,800원(23호봉)
각 직급별 봉급은 경력, 책임, 그리고 업무의 중요도를 기반으로 산정됩니다. 이러한 체계는 각 계층의 업무 강도와 난이도에 따른 합리적인 보상을 제공하며, 공직 내 직업 만족도를 높이는 데 기여합니다.
9급 공무원 (1등급)
- 1호봉: 2,000,900원
- 10호봉: 2,456,700원 (+22.8%)
- 20호봉: 3,146,900원 (+57.3%)
- 31호봉: 3,604,900원 (+80.2%)
6급 공무원 (4등급)
- 1호봉: 2,308,700원
- 10호봉: 3,351,400원 (+45.2%)
- 20호봉: 4,231,500원 (+83.3%)
- 32호봉: 4,799,800원 (+107.9%)
3급 공무원
- 1호봉: 3,653,800원
- 10호봉: 4,940,700원 (+35.2%)
- 20호봉: 6,127,600원 (+67.7%)
- 27호봉: 6,554,400원 (+79.4%)
1급 공무원
- 1호봉: 4,498,600원
- 10호봉: 6,030,200원 (+34.0%)
- 23호봉: 7,730,800원 (+71.8%)
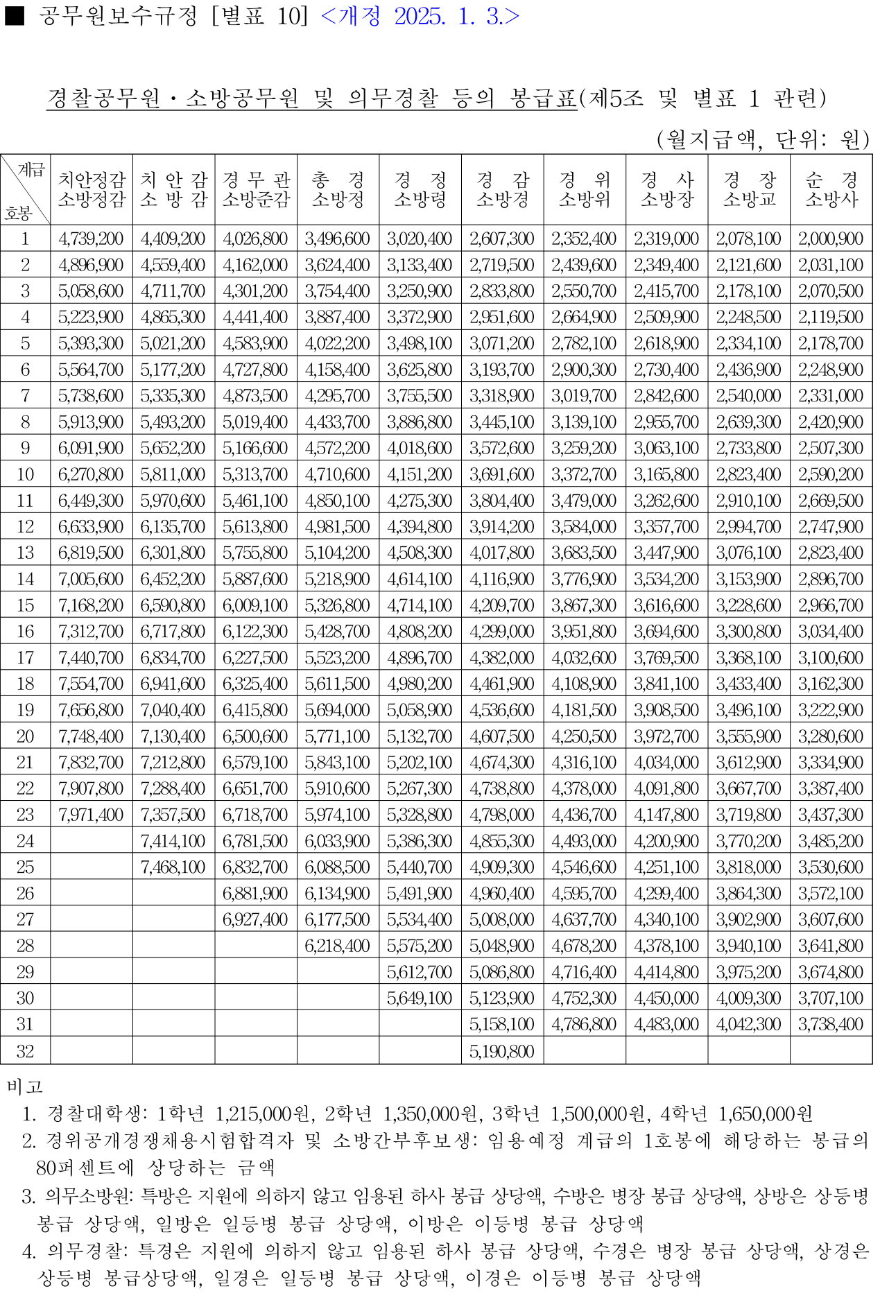
교원 및 경찰, 군인 봉급표
2025년 개정된 봉급표는 교원, 경찰공무원, 군인 등 각 직군에 따라 세분화된 체계를 갖추고 있습니다. 이러한 봉급표는 각 직무의 특성과 책임에 맞는 보상을 제공하기 위해 설계되었습니다.
교육 공무원 봉급표 2025

교육 공무원의 봉급 체계는 교원의 경력, 근속 연수, 담당 학급 및 행정 업무 수행 여부에 따라 차등적으로 적용됩니다. 2025년 개정된 봉급표는 교사들의 근속 기간에 따른 보상을 강화하고, 교육 환경 개선을 위한 추가 수당을 포함하여 보다 안정적인 교육 시스템을 구축하는 데 기여하고 있습니다.
- 유치원, 초등, 중등, 고등학교 교원: 각 호봉에 따라 지급되며, 시간제 교원의 경우 근무 시간에 비례하여 봉급이 산정됩니다.
- 2025년 교원 근가호봉: 78,300원
경찰공무원 및 소방공무원 봉급표
경찰공무원과 소방공무원의 봉급은 직급 및 근무 연차에 따라 결정되며, 위험 수당과 특수 근무 수당이 추가로 지급될 수 있습니다. 경찰공무원의 경우 현장 대응 능력 강화를 위해 기본급 외에도 출동수당, 특수업무수당 등이 지급됩니다. 소방공무원의 경우 화재 진압 및 구조 활동 등의 위험성을 고려하여 위험수당과 야간근무 수당이 포함됩니다. 이러한 보수 체계는 공공 안전을 담당하는 공무원들의 처우 개선을 목표로 하고 있습니다.

- 경찰대학생: 학년별로 월 1,215,000원에서 1,650,000원까지 지급.
- 의무경찰 및 의무소방원: 병사 계급에 따라 월 750,000원에서 1,500,000원까지 지급.
군인 봉급표

군인 봉급표는 계급별로 차등 지급되며, 국방의 의무를 수행하는 군인의 사기 진작과 생활 안정을 고려하여 설계되었습니다. 2025년 개정된 군인 봉급표는 병사 월급 인상과 함께 장교 및 부사관의 보수 체계를 재조정하여 보다 합리적인 보상 시스템을 제공하고 있습니다.
- 대장 월급: 월 9,293,500원 (최고 수준)
- 중장 월급: 9,127,800원
- 사관생도:
- 1학년: 1,215,000원
- 2학년: 1,350,000원
- 3학년: 1,500,000원
- 4학년: 1,650,000원
- 부사관후보생 및 입영훈련 중인 학생군사교육단:
- 3학년 사관후보생: 1,500,000원
- 4학년 사관후보생: 1,650,000원
- 본인의 지원에 의하지 않고 임용된 하사: 1,500,000원
- 공군항공과학고등학교 학생:
- 1학년: 750,000원
- 2학년: 900,000원
- 3학년: 1,200,000원
- 병 월급:
- 이등병: 750,000원
- 일등병: 900,000원
- 상등병: 1,200,000원
- 병장: 1,500,000원





결론
2025년 공무원 봉급표는 직급과 호봉을 고려하여 보다 합리적인 보상 체계를 마련하는 데 중점을 두었습니다. 특히 저연차 공무원들을 위한 추가 인상률이 적용되어 공직 입문의 장벽을 낮추는 데 기여하고 있습니다. 앞으로도 공무원 보수 체계는 물가 상승과 경제 흐름을 반영하여 지속적인 개편이 이루어질 것으로 예상됩니다.

































'경제 직업 부동산' 카테고리의 다른 글
| 4월 휴일 없음 - 4월 5일 식목일 공휴일 제외 유래 (0) | 2025.02.09 |
|---|---|
| 여름휴가, 연차 포함 – 유급휴가 대체합의서 (0) | 2025.02.08 |
| 정년연장 몇년생부터? (0) | 2025.01.30 |
| 오늘의 금시세 금한돈은 가격 18K 1돈 금값 (0) | 2025.01.29 |
| 사업자 업종코드 분류표 조회 및 업태 이해 (0) | 2025.01.27 |