2025년 공무원 봉급 인상률, 내년 임금 인상 3%
2025년이 다가오면서 공무원 봉급 인상률에 대한 논의가 더욱 심화되고 있습니다. 이번 인상률은 공무원의 보수 체계와 그에 따른 사회적 파급 효과를 고려할 때 단순한 임금 인상의 문제를 넘어섭니다. 정부의 정책적 방향성, 공무원의 직무 효율성 향상, 민간과의 보수 격차 조정 등 다양한 측면에서의 복합적인 의미를 내포하고 있는 바, 이에 대한 종합적 분석이 필요합니다.

본 글에서는 2025년 공무원 봉급 인상률과 그 주요 변화들을 체계적으로 고찰하고, 정책적 함의를 살펴보겠습니다.
2025년 공무원 봉급 인상률: 기본 개요
국가 공무원보수위원회는 2025년 공무원 보수 인상률 권고안을 발표하면서 고위직(5급 이상)에는 2.5%, 저위직(6급 이하)에는 3.3% 인상을 제안했습니다. 그러나 기획재정부는 최종적으로 모든 직급에 대해 균등하게 3% 인상을 결정했습니다. 이러한 결정은 민간과의 보수 격차를 줄여 공무원들의 경제적 안정을 도모하고, 나아가 사회적 형평성을 제고하기 위한 정부의 지속적인 노력이 반영된 것입니다.
이번 내년 공무원 임금 3% 인상은 공무원의 기본급뿐만 아니라 다양한 수당과 복리후생에 영향을 미칩니다. 공무원의 실질적인 수령액에는 기본급 외에도 초과근무수당, 직무수당, 가족수당 등 다양한 부가 급여 항목이 포함되기 때문입니다. 따라서 기본급 인상만으로는 공무원들의 생활 수준 개선을 충분히 설명할 수 없으며, 전체 보수 체계에서의 변화가 공무원들에게 미치는 영향을 다각적으로 분석하는 것이 필요합니다.



또한, 이번 2025년 공무원 임금 인상률 결정은 경기 침체와 물가 상승 등의 외부 경제적 요인들을 반영하고 있습니다. 인플레이션에 따른 실질 구매력 저하를 완화하고, 민간 부문과의 경쟁력 유지를 목표로 한 정책적 조치로 해석될 수 있습니다. 이로 인해 공무원들이 겪는 경제적 불확실성을 줄이고, 직업적 안정성을 강화하는 데 기여할 것입니다.
9급 공무원의 월급 변화와 의미
특히 많은 이들이 주목하는 부분은 9급 공무원의 월급 변화입니다. 2024년 기준 9급 1호봉 공무원의 월급은 약 1,877,000원이었으며, 2025년에는 3% 인상된 1,933,310원이 됩니다. 이는 56,310원의 인상을 의미하며, 단순한 수치 이상의 의미를 가집니다. 9급 공무원의 월급은 신입 공무원들의 직업 안정성 확보와 경제적 자립을 지원하는 중요한 기초입니다.
공무원 월급은 기본급 외에도 초과근무수당, 특수지근무수당, 가족수당 등 다양한 부가 수당이 더해져 계산되며, 이는 실질 수령액을 크게 좌우합니다. 2025년 인상률 적용으로 인해 이러한 부가 수당들도 비례하여 증가하게 되므로, 전체 보수 체계에서의 변화가 신입 공무원들의 경제적 안정성에 미치는 영향이 큽니다. 이는 특히 사회 초년생으로서 공무원이라는 직업을 선택한 이들에게 장기적 안정감을 제공하는 요소로 작용할 것입니다.
공무원이라는 직업의 매력은 안정성과 지속적인 보수 인상에 있으며, 이번 9급 공무원의 봉급 인상은 이러한 직업적 매력을 유지하고자 하는 정부의 의지를 보여줍니다. 또한 공무원 직렬에 대한 높은 직업 안정성은 민간 기업과 비교할 때 공직의 매력을 높이는 중요한 요소로, 이는 많은 인재들이 공직에 도전하게 하는 동력이 됩니다.


2025년 공무원 급여 인상률 적용과 수당 변화
내년도 공무원 봉급 인상과 관련하여 노동계는 몇 가지 중요한 요구 사항을 내놓았습니다.
- 첫째, 정액 급식비를 8만 원 인상하여 공무원들이 겪는 일상적인 식비 부담을 덜어주는 방안을 제안했습니다. 이는 공무원 복지 향상의 일환으로, 공무원들이 경제적 스트레스 없이 직무에 전념할 수 있도록 돕는 조치입니다.
- 둘째, 6급 이하 직급보조비를 3만 5천 원 인상하여 저연차 공무원들의 경제적 부담을 줄이기 위한 노력을 보였습니다.
정근수당 역시 중요한 논의 대상입니다. 저연차 공무원들이 경력에 따라 차별 없이 정근수당을 받을 수 있도록 지급 기준을 개선하는 방안을 요청하고 있으며, 이는 공무원 보수 체계의 형평성을 높이는 방향으로 나아가고 있습니다. 또한, 봉급조정수당 지급을 통한 급여 현실화 요구는 물가 상승률에 대응하여 공무원들의 실질 임금 수준을 유지하려는 목적을 가지고 있습니다.
복지 향상과 관련하여, 공무원들이 근무하는 지역에 상관없이 전국적으로 동일한 복지 혜택을 받을 수 있도록 복지제도의 표준화를 추진하는 논의도 진행 중입니다. 이러한 복지 표준화는 지방 근무 공무원들이 수도권 근무 공무원들과 동등한 혜택을 받을 수 있게 하여, 근무지 간의 격차를 줄이고 전반적인 공무원들의 직무 만족도를 높이는 데 기여할 것입니다.

2025 공무원 직렬별 봉급표
2025년 공무원 봉급표

일반직 공무원 봉급표는 직급별로 차등화되어 있습니다. 1급 공무원의 경우 최저 4,367,600원에서 경력에 따라 최고 7,505,600원까지 지급되며, 2급 공무원은 3,931,900원부터 6,794,400원까지 차등 지급됩니다. 이러한 차등화된 급여 체계는 경력과 근속연수를 반영하여 형성된 것이며, 근속에 따른 호봉 상승이 매년 정기적으로 이루어집니다.
6급부터 9급까지의 공무원 역시 근속 연수에 따른 급여 상승 구조를 가지고 있으며, 특히 매년 정기적인 호봉 승급을 통해 안정적인 급여 상승을 보장받고 있습니다. 기본급 외에도 초과근무수당, 직무수당, 가족수당 등 다양한 수당이 지급되며, 이는 실질적인 수령액을 높이는 역할을 합니다.
일반직 공무원들의 보수 체계는 직무의 특성과 책임 정도에 따라 다양한 혜택을 반영하고 있으며, 이러한 체계는 동일한 급수 내에서도 개별 공무원의 직무 역량과 업무 난이도에 따라 상당한 차이를 만들어냅니다. 이번 봉급 인상은 이러한 차이를 보완하고, 직무와 직급 간의 공정성을 높이기 위한 정책적 접근의 일환입니다.
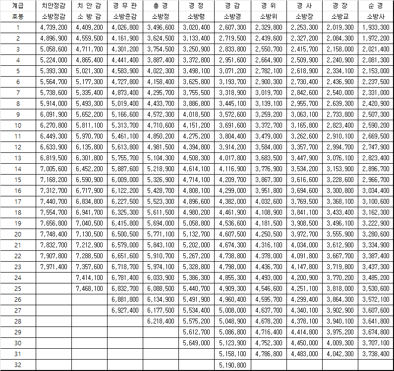
소방 경찰 공무원의 특별 수당

경찰과 소방관 등의 직렬은 고위험 업무 수행에 따른 특별 수당이 추가로 지급됩니다. 기본급 외에도 위험근무수당, 야간근무수당, 휴일근무수당 등이 추가 지급되며, 이는 이들의 직무 특성에서 비롯된 위험성을 반영한 보상입니다. 이러한 특별 수당은 공안직 공무원들의 사기를 높이고, 직무에 대한 헌신을 강화하는 역할을 합니다.
소방 경찰 공무원들은 공공 안전을 지키기 위해 헌신해야 하는 만큼, 그에 상응하는 복지 혜택도 제공받습니다. 예를 들어, 경찰과 소방 공무원들은 추가적인 건강검진과 심리 상담 서비스를 통해 신체적, 정신적 건강을 관리할 수 있는 지원을 받습니다. 이러한 복지적 지원은 소방 경찰 공무원들이 보다 안정된 환경에서 근무할 수 있도록 하는 데 필수적입니다.
교사 봉급 인상과 교육직의 변화
2025년에는 유치원, 초등학교, 중학교, 고등학교 교원들의 봉급도 인상됩니다. 예를 들어, 8호봉으로 시작하는 신입 교사의 경우 2024년 기준 월급이 2,193,500원에서 2025년에는 2,259,300원으로 인상됩니다. 약 65,800원의 인상은 경제적 안정을 위한 조치로, 교사들이 교육의 질에 더욱 전념할 수 있도록 돕는 역할을 합니다.
교사들은 사회적 책무가 크며, 학생들의 미래를 책임지는 중요한 직업군입니다. 이번 봉급 인상은 이들의 직무 가치와 책임을 인정하는 조치로, 특히 신입 교사들이 초기 교육 현장에 적응하는 데 있어 중요한 경제적 지원이 됩니다. 또한, 교육 연구와 자기 계발을 위한 지원금도 확대되었으며, 이는 교사들이 교육 현장에서 지속적으로 전문성을 개발할 수 있는 동기를 부여합니다.
호봉제와 봉급 인상의 의미

공무원의 급여 체계는 호봉제에 의해 운영됩니다. 호봉제는 근속 연수에 따라 매년 한 단계씩 호봉이 올라가는 구조로, 근속 기간이 길수록 인상폭이 커집니다. 예를 들어, 9급 공무원이 1호봉에서 2호봉으로 오를 때 약 19,000원이 인상되지만, 10호봉에서 11호봉으로 갈 때는 79,000원이 인상됩니다. 이는 장기근속을 유도하고, 경력에 따라 보상하는 구조로 공직의 안정성을 확보하는 중요한 요소입니다.
호봉제의 또 다른 장점은 예측 가능한 급여 상승 구조를 통해 공무원들이 장기적인 계획을 세울 수 있도록 한다는 점입니다. 이는 공직에 대한 신뢰를 높이고, 공무원들이 자신의 역할에 충실할 수 있는 기반을 제공합니다. 이번 2025년 봉급 인상은 이러한 호봉제의 장점을 살리면서, 경제적 변화에 따른 실질적인 보상을 반영하려는 정부의 노력이 돋보입니다.
전문경력관의 보수 체계
전문경력관 공무원은 가군, 나군, 다군으로 구분되며, 각 직군의 초임과 최고 급여는 업무의 전문성과 직무의 특성에 따라 차등 지급됩니다. 가군의 경우 초임은 2,717,000원에서 시작하여 최고 6,363,500원까지 지급되며, 나군과 다군 역시 직무 난이도와 필요 전문성에 따라 급여 체계가 다르게 설정됩니다.
전문경력관의 보수 체계는 민간의 고급 인재 유출을 막기 위한 경쟁력 있는 보수 체계를 목표로 하며, 일반직 공무원보다 더 탄력적인 급여 인상 구조를 가지고 있습니다. 직무 난이도와 책임에 따라 특별수당과 업무수당이 추가로 지급되며, 이는 전문성을 인정받기 위한 중요한 보상 체계입니다. 이번 봉급 인상은 이러한 전문성을 강화하고, 경쟁력 있는 보수 체계를 유지함으로써 우수한 인재를 지속적으로 영입하려는 정부의 의지를 보여줍니다.
공무원 연금과 노후 대비
공무원 연금은 장기적인 노후 보장의 핵심적 요소로, 장기근속을 통해 호봉이 올라가면서 월급이 인상되고, 은퇴 후에는 안정적인 연금을 수령할 수 있는 구조를 가지고 있습니다. 다만 최근 공무원 연금의 재정적 어려움이 가중되면서, 연금 개혁의 필요성이 제기되고 있습니다. 이는 현직 공무원들에게도 장기적인 노후 대비 계획을 세울 필요성을 인식하게 만드는 요소입니다.
공무원 연금은 그동안 안정적 노후 보장을 제공해왔지만, 재정적 문제로 인해 연금 수급률 조정 논의가 이루어지고 있습니다. 정부는 지속 가능한 연금 구조를 유지하기 위해 개혁을 추진하고 있으며, 이는 공무원들이 안정된 노후를 보장받을 수 있도록 하는 중요한 방향입니다. 이번 봉급 인상은 연금 개혁과 더불어 장기적인 경제적 안정을 강화하는 데 기여할 것입니다.


결론: 2025년 공무원 봉급 인상률 3%의 의미
2025년 공무원 봉급 인상률은 모든 직급에 대해 3%로 결정되었으며, 이는 정부의 공무원 처우 개선을 위한 지속적인 노력의 일환으로 해석됩니다. 이번 인상은 단순한 임금 조정을 넘어, 공무원들의 실질적인 생활 안정과 직업적 만족도를 높이는 중요한 계기가 될 것입니다. 기본급뿐만 아니라 다양한 수당과 복리후생의 변화가 반영되어, 공무원들의 생활 수준이 전반적으로 향상될 것으로 기대됩니다.
장기적으로 보면, 공무원의 안정성과 노후 대비의 중요성은 여전히 크며, 이러한 요소들이 인상률과 맞물려 긍정적인 변화를 이끌어낼 것입니다. 앞으로도 공무원 보수 체계가 공정하고 효율적으로 운영되기를 기대하며, 이번 인상이 그 첫걸음이 되기를 바랍니다.

공무원 봉급 인상은 단순히 경제적 보상의 의미를 넘어서, 공직에 대한 신뢰와 안정성을 강화하는 중요한 수단이 됩니다. 이번 인상을 통해 공무원들이 더 나은 환경에서 일하고, 국민을 위해 더욱 헌신할 수 있는 계기가 되기를 기대하며, 정부의 지속적인 지원과 관심이 계속되기를 바랍니다. 또한, 봉급 인상과 더불어 복리후생 개선, 연금 제도 보완 등 다양한 방면에서 공무원들의 처우가 종합적으로 개선될 수 있도록 하는 것이 필요합니다.
'경제 직업 부동산' 카테고리의 다른 글
| 공무원 가족돌봄휴가 규정 일수 무급, 유급, 휴직 기간 (0) | 2024.11.18 |
|---|---|
| 조지호 경찰청장 프로필 고향 나이 학력 재산 (0) | 2024.11.09 |
| 정년연장 65세 시행시기, 교사 공무원 등 (0) | 2024.11.06 |
| 6급 대우공무원 수당: 조견표 기준과 수당 금액의 계산 (0) | 2024.11.06 |
| 근로기준법 연차휴가일수 규정, 연월차 수당 계산방법 (0) | 2024.11.04 |