2026년 공무원 봉급표 2026 교사 월급
2026년은 공무원 보수체계에 있어 의미 있는 변화를 맞이한 해입니다. 정부가 확정한 예산안에 따르면 공무원 임금은 전년 대비 3.5% 인상됩니다. 이는 2017년 이후 9년 만에 가장 큰 폭의 인상률로, 민간 대비 공무원 보수 격차를 일부 해소하려는 정책적 의지가 반영된 것입니다.


그동안 공무원 보수는 물가 상승률이나 민간 임금 인상폭을 따라가지 못해 실질임금이 감소했다는 지적을 받아왔습니다. 특히 2020년대 초반 코로나19 시기에는 최저 인상률인 0.9%에 머물며 체감 소득 감소 문제가 두드러졌습니다.


따라서 이번 2026년 인상은 단순한 숫자 이상의 의미를 갖습니다. 공직사회의 사기 진작, 우수 인재 확보, 그리고 장기적으로 공직의 경쟁력 유지라는 과제를 해결하는 첫걸음이라 볼 수 있습니다. 이 글에서는 2026년 공무원 봉급표를 일반직, 경찰·소방공무원, 군인, 교사로 구분해 살펴보고, 각 직군별 현실적 의미를 분석하겠습니다.
2026년 공무원 봉급 인상률 개요



2026년 공무원 보수 인상률은 3.5%로 확정되었습니다. 이는 2020년대 인상률 추이를 고려할 때 이례적으로 높은 수치입니다.
- 2020년: 2.8%
- 2021년: 0.9%
- 2022년: 1.4%
- 2023년: 1.7%
- 2024년: 2.5%
- 2025년: 3.0%
- 2026년: 3.5%
점진적으로 회복세를 보였고, 2026년에는 민간 임금 인상률을 부분적으로 반영하는 수준까지 따라잡은 것입니다.


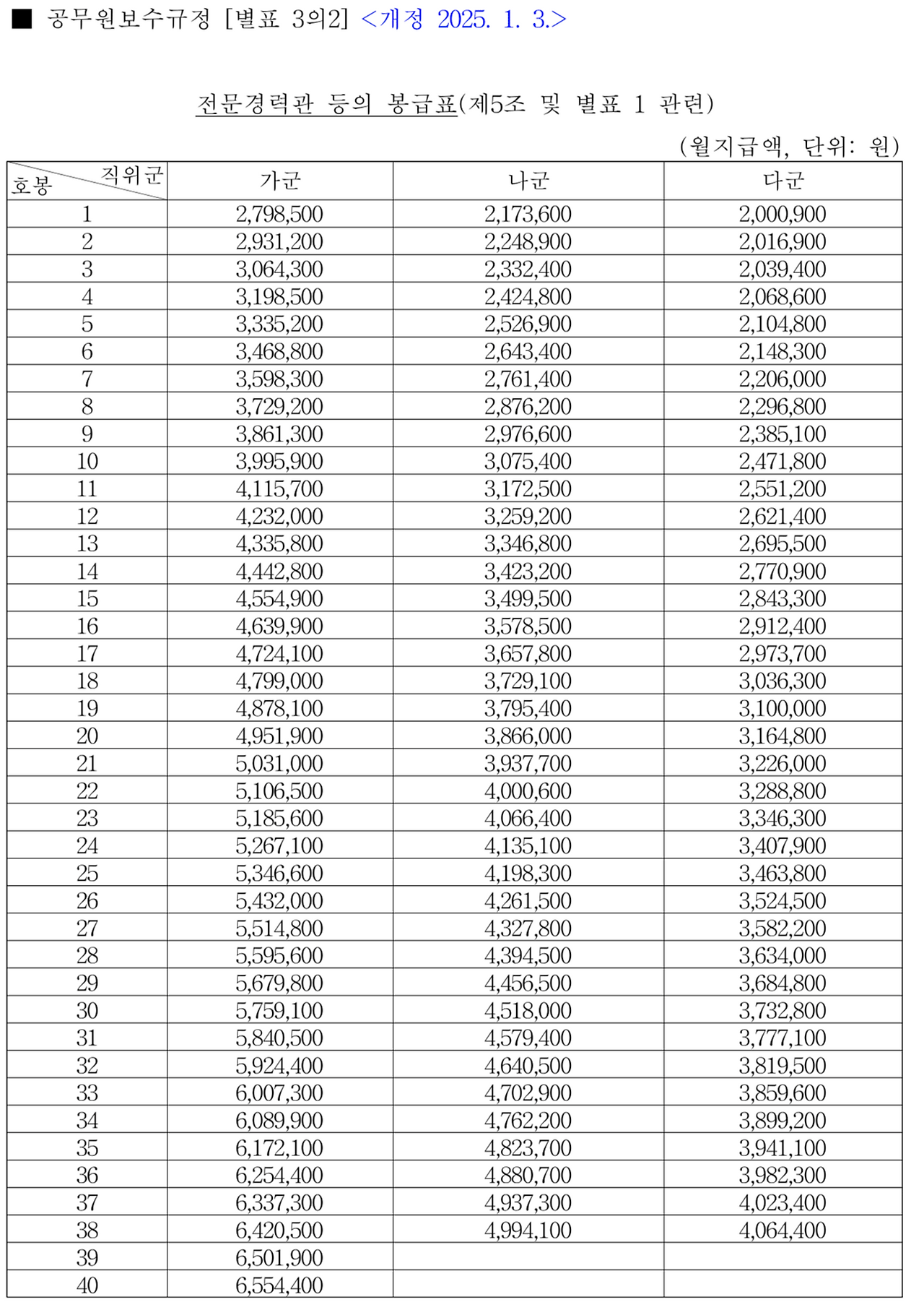
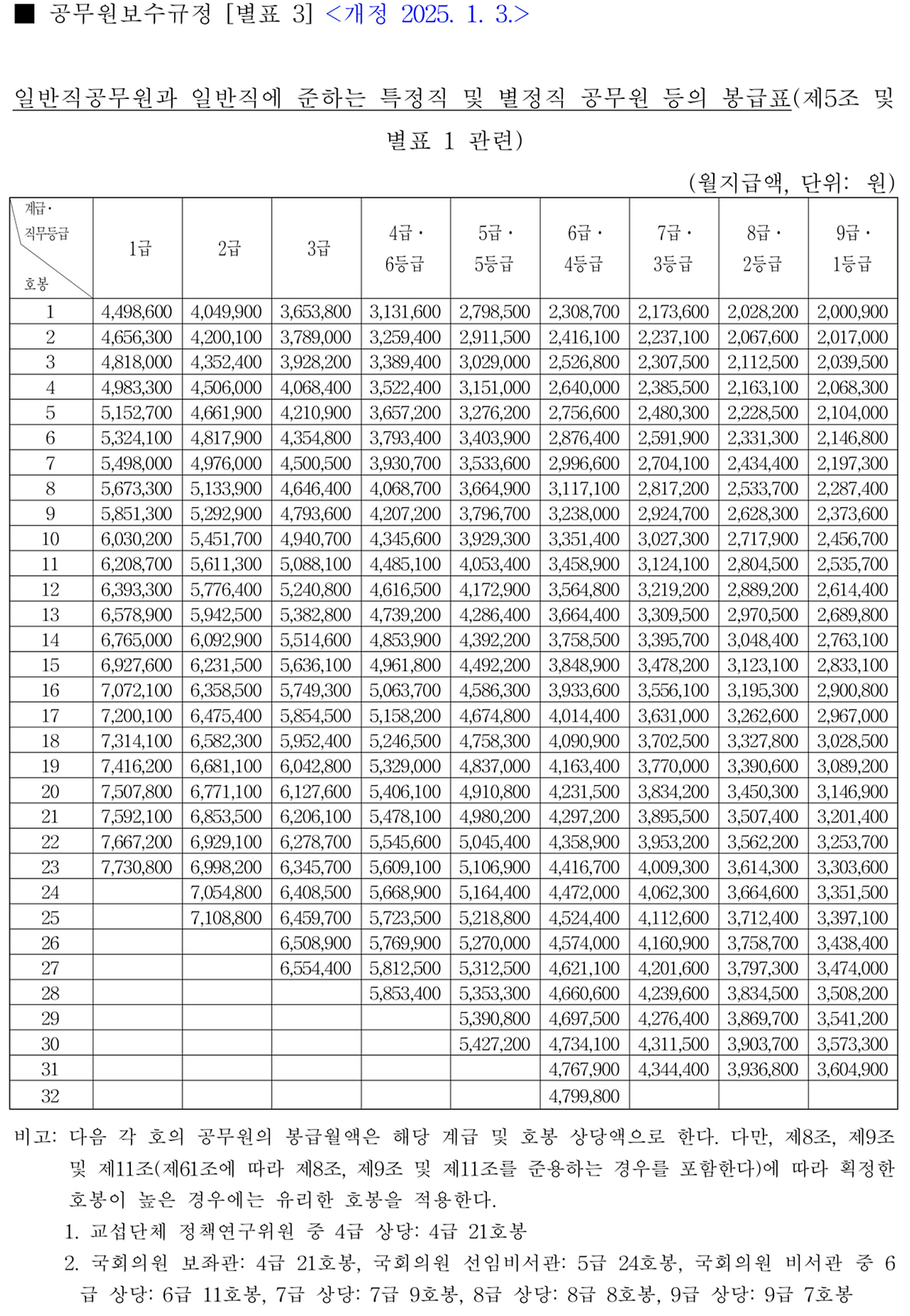
일반직렬 2026년 공무원 봉급표
2026 공무원 보수는 계급과 호봉에 따라 산정됩니다. 2026년 공무원 봉급표 기준으로 가장 주목되는 부분은 9급 신입 공무원의 초임 상승입니다.

- 9급 1호봉: 2,070,900원
- 7급 1호봉: 2,249,700원
- 5급 1호봉: 2,896,400원
- 3급 1호봉: 3,781,700원
- 1급 1호봉: 4,656,100원
9급 신규 공무원은 세전 기준 약 207만 원을 수령하며, 정근수당, 가족수당, 직급보조비, 명절휴가비 등을 합산하면 실제 수령액은 250만 원 이상으로 올라갑니다.
공무원 급여는 ‘기본급+수당 체계’가 핵심이므로, 봉급표상의 금액만으로 생활수준을 판단하기는 어렵습니다.

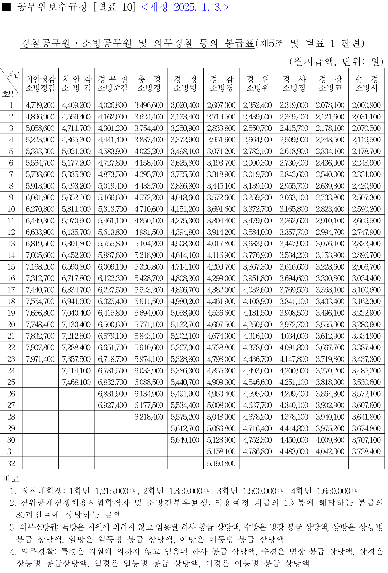
2026년 경찰·소방 공무원 봉급표
경찰과 소방은 위험직무 성격이 반영된 별도 봉급표를 사용합니다. 기본급은 일반직과 유사하나, 각종 위험수당과 특수업무수당이 추가되어 실질 수령액은 더 높습니다.

- 순경(소방사) 1호봉: 2,000,900원
- 경장(소방교) 1호봉: 2,078,100원
- 경사(소방장) 1호봉: 2,319,000원
- 경위(소방위) 1호봉: 2,352,400원
- 경감(소방경) 1호봉: 2,607,300원
- 총경(소방정) 1호봉: 3,496,600원
- 치안정감(소방정감) 1호봉: 4,739,200원
경찰·소방의 경우 직무 특성상 초과근무와 위험근무가 잦기 때문에 수당이 월급의 20~40%를 차지하는 경우도 많습니다. 따라서 순경 초봉은 기본급 200만 원 수준이지만, 실제 실수령은 260만 원 이상에 달하는 사례가 많습니다.












경찰·소방공무원 수당의 특수성
경찰과 소방은 일반직 공무원과 달리 위험수당과 특수업무수당이 크게 반영됩니다. 이는 단순한 보수 보전 차원이 아니라, 생명·신체적 위험을 감수하는 직무 특수성을 고려한 정책적 배려입니다.
- 위험근무수당: 화재, 범죄, 재난 현장에 직접 투입되는 경우 지급됩니다.
- 특수업무수당: 형사, 수사, 정보, 소방 구조·구급 인력 등 특수 임무를 맡는 직종에 차등 적용됩니다.
- 초과근무수당: 경찰·소방은 비상 상황에 대비해야 하므로 초과근무가 일상적입니다. 이에 따라 월 67시간 제한을 넘는 경우에도 추가 인정이 가능합니다.
따라서 순경(소방사) 초봉이 200만 원 수준이라 하더라도, 실제 수령액은 300만 원 이상으로 상승하는 경우가 많습니다. 특히 대도시 근무자일수록 사건·사고 대응 빈도가 높아 추가 수당 비중도 큽니다.















2026년 군인 월급
군인의 보수는 병사-부사관-장교-장성 체계로 나뉩니다. 최근 가장 주목받은 부분은 병사 월급 인상입니다.

- 이등병: 750,000원
- 일등병: 900,000원
- 상등병: 1,200,000원
- 병장: 1,500,000원
병장 월급이 150만 원에 도달하면서 “용돈 수준”이라는 과거의 평가에서 벗어나, 최소한 생활급의 성격을 갖추게 되었습니다.
간부 급여 또한 상승폭이 반영되었습니다.
- 소위 1호봉: 2,087,900원
- 중위 1호봉: 2,239,600원
- 대위 1호봉: 2,805,000원
- 소령 1호봉: 3,382,700원
- 대령 1호봉: 4,671,200원
- 준장 1호봉: 5,753,700원
- 소장 1호봉: 6,099,000원
또한 사관생도의 경우 학년별로 120만~165만 원이 지급되어 군사학교 학생들 역시 일정 수준의 보수를 받게 됩니다.














2026년 군인 월급의 사회적 의미
군인의 급여는 단순히 보수 수준을 넘어 병역 의무 보상 문제와 직결됩니다. 특히 병사 월급 150만 원 시대의 도래는 사회적으로 큰 의미가 있습니다. 과거에는 병사 급여가 용돈 수준에 불과했으나, 이제는 최소한 자기 계발이나 사회 복귀 준비를 위한 자금 마련이 가능해졌습니다.








- 병사 월급의 활용: 병사들이 월 150만 원을 받게 되면서, 자격증 취득, 대학 등록금 마련, 사회 복귀 자금 준비가 현실적으로 가능해졌습니다.
- 간부 급여와 비교: 소위 1호봉이 약 208만 원으로, 병장과의 격차가 크지 않다는 점은 군 내 직무 동기 유발 측면에서 논란이 될 수 있습니다. 이에 따라 장교와 부사관의 지휘·책임 수당 강화 필요성이 제기됩니다.
- 예산 부담: 병사 급여 인상은 국가 재정에 큰 영향을 미치며, 국방 예산 구조에도 변화를 가져왔습니다. 단순 인건비 외에도 복지, 급식, 주거 지원 등과 연계해 병역 자원의 사기를 높이는 방향으로 정책이 추진되고 있습니다.







2026년 교사 월급 (교원 봉급표)
교사는 교육공무원 신분으로, 호봉제가 적용됩니다. 경력과 근속연수에 따라 꾸준히 상승하는 구조입니다.

- 1호봉 (신규 교사): 1,982,100원
- 10호봉 (경력 약 10년차): 2,471,400원
- 20호봉 (경력 약 20년차): 3,481,000원
- 30호봉 (경력 약 30년차): 4,826,800원
- 40호봉 (정년 직전): 6,205,700원
교사의 급여에는 담임수당, 교직수당, 정근수당 등이 추가됩니다. 특히 장기근속을 할수록 공무원 직군 중에서도 안정적이고 높은 수준의 보수를 받는 편입니다. 신규 교사의 경우 초임이 198만 원으로 일반직 9급보다 낮아 보일 수 있으나, 수당 포함 시 실질 수령액은 230만 원 이상이 됩니다.

교사 급여의 특수성
교사는 단순히 기본급 외에도 교육 활동 특성을 반영한 다양한 수당을 받습니다.
- 교직수당: 모든 교사에게 지급되는 기본 수당입니다.
- 담임수당: 담임을 맡는 교사는 학생 관리 업무 부담을 고려해 추가 지급됩니다.
- 보직수당: 교감, 교장, 연구부장, 생활지도부장 등 보직을 맡는 경우 지급됩니다.
- 시간외근무수당: 일반 공무원과 마찬가지로 초과 근무가 인정되지만, 실제 학교 현장에서는 행정 업무와 수업 준비로 초과근무가 상시적입니다.
2026년 교사 40호봉의 월급은 620만 원 수준에 도달해 고위 공무원 못지않은 수준입니다. 하지만 초임 교사의 경우 생활비 부담이 커 민간 사립학교 교원과의 격차 문제가 여전히 존재합니다.













2026년 공무원 수당 체계와 실수령액
공무원의 봉급표에는 기본급만 제시되며, 실제로는 다양한 수당이 더해져 실수령액이 결정됩니다. 2026년에도 수당 체계는 기존과 동일하게 유지되지만, 기본급 인상에 따라 수당 역시 연동되어 증가합니다. 가장 대표적인 수당은 정근수당, 가족수당, 직급보조비, 시간외근무수당, 명절휴가비 등입니다.
- 정근수당: 공무원 재직 기간에 따라 지급되는 장기근속 보상 성격의 수당입니다. 보통 연 2회(1월, 7월) 지급되며, 기본급의 일정 비율로 산정됩니다.
- 가족수당: 배우자, 자녀, 부양가족이 있는 경우 지급됩니다. 자녀 수에 따라 차등 적용되며, 최근에는 다자녀 가정 지원을 강화하는 방향으로 확대되었습니다.
- 직급보조비: 직위별로 지급되는 보조 성격의 수당으로, 행정 경비 부담을 일부 보전합니다.
- 시간외근무수당: 정규 근무 외 추가 근무를 인정받을 때 지급됩니다. 월 최대 67시간까지만 인정되는 것이 원칙입니다.
- 명절휴가비: 설과 추석에 지급되는 특별 수당으로, 기본급과 연동되어 매년 소폭 인상됩니다.
따라서 9급 공무원 초임인 2,070,900원에 위 수당들이 더해지면 실제 수령액은 약 260만~280만 원 수준이 됩니다.













공무원 보수와 민간 임금 격차 문제
이번 2026년 인상에도 불구하고 공무원 보수는 여전히 민간 평균 대비 약 80% 수준에 머물러 있습니다. 이 격차는 특히 전문직이나 IT, 금융권과 비교할 때 더 두드러집니다.
- 민간 임금과 비교: 대기업 신입사원의 평균 연봉은 4,500만 원 이상으로, 9급 공무원 초봉과는 연간 1,000만 원 이상의 차이가 납니다.
- 공무원의 장점: 안정성, 연금 보장, 정년 보장이 주요 강점으로 작용합니다.
- 청년층의 선택: 임금 격차에도 불구하고 청년층이 여전히 공무원 시험에 몰리는 이유는 경기 불확실성과 민간 고용 불안정 때문입니다.
따라서 이번 인상은 단기적으로는 사기 진작에 기여하겠지만, 장기적으로는 공무원 보수 체계 전반의 재설계가 필요하다는 지적이 나옵니다.













향후 전망
2026년 인상률은 공무원 사회에 긍정적인 신호를 주지만, 지속 가능성을 위해 다음 과제들이 논의되고 있습니다.
- 수당 체계 단순화: 현재 복잡한 수당 구조를 단순화해 기본급 비중을 높이는 방향 검토.
- 성과급제 강화: 단순 연공서열식 호봉제를 개편해 성과 중심 보수체계로 전환 필요.
- 민간 격차 해소: 특정 전문직 공무원의 경우 민간 대비 보수가 크게 낮아 인재 유출 위험이 큼. 이를 개선해야 우수 인재 유입이 가능.
- 군인·교원 특수성 반영 확대: 병사 월급 인상 이후 간부 급여 체계 조정 필요, 교사의 경우 업무 과중 문제를 보수 체계에서 적극 반영해야 함.
결국 2026년 공무원 봉급 인상은 시작에 불과합니다. 물가와 민간 임금 수준을 고려할 때 공직사회 보수 체계는 근본적 혁신이 필요하며, 장기적인 로드맵 마련이 필수적입니다.
종합 분석









2026년 봉급 인상은 공무원, 경찰·소방, 군인, 교사 모두에게 긍정적 신호입니다. 그러나 여전히 민간 임금의 80% 수준에 머물러 있다는 점은 해결 과제로 남습니다.
그럼에도 불구하고 이번 인상은 공직사회 사기 진작, 청년층의 공직 진출 동기 강화, 그리고 장기적으로 공직의 경쟁력 유지에 기여할 것으로 기대됩니다.
결론
2026년 공무원 보수 인상률은 3.5%로 확정되며, 이는 지난 9년간 가장 큰 폭의 인상입니다.
- 일반직: 9급 1호봉 2,070,900원
- 경찰·소방: 순경·소방사 1호봉 2,000,900원
- 군인: 병장 1,500,000원
- 교사: 신규 교사 1,982,100원, 40호봉 6,205,700원
이번 인상은 단순한 보수 개선을 넘어 공직사회에 대한 신뢰와 인재 유입에 중요한 전환점이 될 것입니다. 다만 민간과의 격차를 근본적으로 해소하기 위한 장기적인 보수정책 개편은 여전히 과제로 남아 있습니다.











'경제 직업 부동산' 카테고리의 다른 글
| 2026년 공무원봉급인상률, 봉급표 (0) | 2025.09.17 |
|---|---|
| 공무원 복지카드 사용처, 복지포인트 계산 방법 (0) | 2025.08.27 |
| 소방 계급체계, 계급표, 직급체계 완전 정리 (0) | 2025.08.12 |
| 사무관 급수 직위 직급 체계 (0) | 2025.08.06 |
| 임기제, 시간선택제 공무원 월급, 학교 당직전담직원 급여 (0) | 2025.08.05 |